3주차 목표
컴퓨터비전 강의 리뷰 및 정리
컴퓨터비전 강의 리뷰 및 정리
Edge Detection

이미지의 값에 대한 분포를 그렸을 때, 기울기가 가파른 부분이 edge에 해당한다.
중간 그림에서 기울기가 급감하고, 급증하는 두 부분이 edge에 해당한다.
미분한 결과에서, 극값이 edge에 해당한다.
Sobel Filter


1 2 1 로 이루어진 필터는 blurring의 역할을 담당하고, -1 0 1로 이루어진 필터는 이미지에서의 선 검출에 쓰인다.

Gradient, Threshold를 이용하여 edge를 검출할 수 있다.
노이즈가 많은 이미지의 경우
노이즈가 edge로 판단될 수 있다. => sobel 필터만으로는 잡음을 해결하기 어렵다.
따라서 low pass filter인 average, gaussian 등을 사용해야 한다.

Interest Points(Corner points)
- 일치(Correspondence)
keypoint를 사용
flat보다는 특색 있는 코너의 점을 이용하여 판단
두 이미지 상의 keypoint 추출을 통해 일치하는 점들을 찾고,
두 이미지를 합치는 Image Stitching 등에 응용 가능
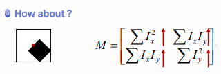
- Harris Corner Detection
patch를 이용하여 slide window 방식으로 진행
1. flat : 밝기 차이가 없다.
2. edge : 수평, 수직 둘 중 하나만 밝기 차이가 있다.
3. corner : 수평, 수직 두 방향 모두 밝기 차이가 있다.

대각선의 경우 예외가 발생한다.
eigenvalue 계산

SIFT(Scale Invariant Feature Transform)
1. Multi-scale extrema detection
2. Keypoint localization
3. Orientation assignment(회전 예측)
4. Keypoint Descriptor(특징 기술)
Multi-scale extrema detection
이미지의 크기를 반씩 줄여가며(resize) 크기마다 keypoint를 추출한다.
같은 scale에서도 gaussian을 이용하여 시그마 값에 차이를 두며 여러 keypoint를 추출한다.
(영향을 미치는 범위가 달라진다.)
octave단위

보라색 점이 keypoint임을 판단할 때, 위 아래에서 추출된 keypoint까지
9 + 9 + 8 총 26개의 이웃 점을 확인하여 판단한다.
=> 극점들만 남기기
결론 : 크기를 고려했다.
Orientation Assignment(각도)
회전 시켜주기 위해 주각도를 구하는 과정

gradient는 magnitude(크기)와 direction(방향)을 가지고 있다.
magnitude 값에도 gaussian을 적용한다.
magnitude 값을 누적한다.
Trilinear interpolation
주변에 있는 방향에도 값을 누적

SURT(Speeded Up Robust Features)
Integral image를 이용하여 image gradient 구하는 과정을 빠르게 할 수 있도록 만듦

Integral Image

Image Gradient를 구하기 위한 필터
Sobel, DoG ...
HOG(Histograms of Oriented Gradients)
반듯하게 서 있는 보행자를 타겟으로 하는 특징 기술
SIFT, SURF의 경우 특징을 뽑을 때 크기, 회전 등 여러 요소를 고려한다.
=> 범용성을 높이려 했으나 오히려 특징 기술을 잘 못하는 문제(잘못된 회전 예측 등)
GIST
필터링을 이용해 특징을 표현한다.
Filter Bank(사전에 필터를 생성해둠)
필터의 반응값을 이용하여 이미지의 구조적 특징을 표현
'공부' 카테고리의 다른 글
| [퍼센트마이닝] 융합동아리 7회차 (0) | 2023.02.19 |
|---|---|
| [퍼센트마이닝] 융합동아리 4회차 (0) | 2023.01.29 |
| [퍼센트마이닝] 융합동아리 2회차 (0) | 2023.01.15 |
| [퍼센트마이닝] 융합동아리 1회차 (0) | 2023.01.08 |
| [컴파일러개론] 기말고사 정리 (0) | 2022.12.19 |