11주차 1차시
키워드
안테나의 종류, 기지국안테나, 위성수신용안테나, 위성통신용지구국안테나, WLAN/Wifi용 안테나, 패치안테나, 야기-우다안테나, 차량용안테나, AP안테나, 휴대폰용 안테나, V2X 주파수
안테나의 종류
1. 기지국 안테나

무선으로 기지국으로 -> 기지국에서 유선으로 다른 기지국으로 -> 다른 기지국에서 무선으로 휴대폰 연결
2. 위성 수신용 안테나

3. 위성통신용 지구국 안테나(위성과 다이렉트 통신)
반지름이 15~30m 정도

4. WLAN, Wifi용 안테나

왼쪽아래 : 모노폴 안테나(지금은 거의 안쓰임)
대부분의 경우 왼쪽 위의 형태
5. 패치 안테나, 야기-우다 안테나
패치
가운데 급전회로
2~3GB 주파수에서 동작
소자가 여러 개(2개 이상) => 배열 안테나


야기-우다
TV수신용 안테나
크기가 크다 => 주파수가 낮은 쪽에서 동작
크기가 작다 => 주파수가 높은 쪽에서 동작
파장이 짧으면 주파수 높음

6. 차량용 AM/FM, DMB 안테나

감은 이유 : 안테나의 물리적 길이를 줄이기 위해서
주파수가 낮으면 안테나 길이가 길어짐
7. 휴대폰용 안테나

요즘은 대부분의 안테나가 인테나(안쪽에 들어있는)
8. AP(Accss Point) 안테나

9. 레이더 안테나(군용)

5G V2X 통신용 안테나
커넥티드카 : 차량 주위에 있는 여러 다른 부분과 연결된, 연결시키는, ICT기술과 자동차 기술의 융합
V2X : 차량과 사물 사이의 통신 기술을 의미
V2V : 차량 사이의 통신
V2I : 차량과 교통 인프라망 사이의 통신
V2N : 차량과 클라우드 서비스의 연결을 위한 통신
V2P : 차량과 보행자 사이의 통신
휴대폰과 V2X 적용 시나리오
1. 직접 통신 : LTE나 5G망을 통한 통신
2. 직접 통신 : 차량 또는 디바이스 사이의 직접 통신
V2X 주파수
5G : 차량 영상 전송, 자율주행 보조, 교통정보, 정밀 지도
4G-LTE : 차량용 와이파이, 인공지능 음성인식, 기타 장비 서비스
C-V2X : V2X 기반 교통 정보, 차량간 정보 교환
자율주행차

위치를 나타내는 GPS, IMU는 관성측정장치
DGPS 좀 더 정밀한 위치
ADS : 자동 운전 시스템, 자율주행을 위해 필요한
Radar, Lidar, Camera
5G/WAVE/V2X : 통신을 위한
HMI(Human Machine Interface) 사람과 기계를 연결
자율주행차의 전자파 통신

11주차 2차시
키워드
안테나, 전자파 이론, 주파수와 파장 사이의 관계, 로그 눈금, 맥스웰 방정식, 패러데이 유도법칙, 암페어 법칙, 가우스 법칙, 구성방정식
안테나의 도전 과제
무선 이동 통신 시스템에 대한 적합성, 광대역, 작은 크기
공학적 측면에서의 안테나
- 실용을 목적으로 하는 장치
- 홀로 동작할 수 없는 장치
- 무선 시스템에 필수적인 장치
안테나
전자파를 효율적으로 의도적으로 방사하고 수신하는 장치
무선장치의 장점
이동성, 넓은 통신 범위, 낮은 경로 손실(전송선로 손실과 전파 손실을 비교했을 때)

무선 : E1과 E0를 비교했을 때의 손실

유선
r이 10M 이하일때는 유선이 유리
송신기에서 송신하면 전기 신호가 전송선로를 거쳐 안테나로 이동
-> 전자파가 만들어져 이동, 수신 안테나에서는 반대로,
수신기의 전송 선로에서는 전자파를 전기신호로 변경
안테나는 혼자 동작 불가 -> 전송선로와 항상 함께
안테나 장치 : 안테나 + 급전선
안테나 설계에서 고려 사항
급전선과의 정합도(전송선로의 특성 임피던스, 안테나의 입력 임피던스가 같아야 반사가 없음)
효율적이며 의도적인 전파 방사
전자파 기본 이론
전자파
시간에 따라 변하는 전류에 의해 만들어지는 전기적인 파동
ISM 대역 : 433MHz, 900MHz, 2.45GHz, 5.7GHz 등으로 무료로 사용 가능

주파수와 파장 사이의 관계


로그 눈금
신호 전력 : dB단위로 표시
신호 전압 : 전력과 전압의 관계식을 이용하여 변환

맥스웰 방정식
전기장, 자기장, 전하, 전류 사이의 관계 설명

dD/dt : 변위 전류
이 항을 발견하여 전자파를 발견할 수 있었다.
전기장 E, D
자기장 H, B
J 전류밀도

: 전하
패러데이의 유도 법칙
시변 자기장에 의해 전기장이 발생

암페어의 법칙
전류와 시변 전기장에 의해 자기장 발생

전기장에 대한 가우스 법칙

로 : 최적전하밀도
전하가 전기장 D를 만들어내는 원천이다.
자기장에 대한 가우스 법칙
자기장 선이 닫힌 루프를 형성

구성 방정식

입실론 : 유전율
뮤 : 투자율
시그마 : 전도도
11주차 3차시
키워드
맥스웰방정식, 방사전기장, 원거리장 조건, 리액턴스 근거리장, 안테나 파라미터, 전력빔폭, 사이드로브, 지향성, 이득, 방사효율, 정합효율, 편파, 대역폭, 입력 임피던스, 방사저항, VSWR
안테나의 기초
맥스웰 방정식

정현파가 가해졌을 때의 맥스웰 방정식
d/dt 대신 jw
방사 전기장과 원천 사이의 관계
전자파를 만드는 원천은 시간에 따라 변하는 J => 전기장을 구함
안테나 설계는 전류분포 J를 제어하여 원하는 방사장 E를 얻는 것
원거리장 조건
안테나의 종류에 따라 다름

전기적으로 소형
안테나의 크기 l이 람다보다 매우 작은 경ㅇ
전기적으로 대형
l이 람다보다 크다.
전자기장이 국부적 평면파로 간주되기에 충분할 정도의 먼거리 확보

근거리장
리액턴스 근거리장, 방사 근거리장(무선 전력 전송에 중요)

안테나 파라미터(방사패턴)
원거리장에서의 모양을 이야기함
E평면, H평면


E평면은 방향성이 있고, H평면은 방향성이 없음
=> 무지향성 패턴, Omni directional pattern
등방성안테나 : 모든 방향으로 크기가 같은(구 형태의 방사패턴), 실제로는 존재하지 않음(기준 안테나로 사용)
반전력빔폭(HPBW) : 3dB떨어진 위치의 각도 => 작다. 패턴이 뾰족하다.
10dB빔폭(FNBW)
제1사이드로브 크기 : 주로브는 크기가 크고, 사이드로브는 크기가 작기를 원함
전-후방비 : 원하는방향의 크기와 원하지 않는(반대) 방향의 크기의 비
영 위치

지향성(방향성)
안테나가 특정 방향으로 전력을 얼마나 집중해서 방사하는가
총방사전력 Pt : 안테나에서 복사해나가는 총 전력
방사 세기 U
주 로브가 하나인 경우

안테나의 이득과 방사 효율
이득(Gain)
등방성안테나에 비해 특정한 방향으로 세기가 얼마나 센지


정합 효율


Z0 : 전송 선로의 특성 임피던스, Za : 안테나의 입력 임피던스
이득과 지향성의 관계(중요), 안테나의 방사 효율


편파와 대역폭
편파 : 안테나에 전류가 흐르는 방식에 영향을 받음
안테나에 전류가 직선으로 흐르면 선형편파, 원형으로 흐르면 원형편파가 됨
대역폭 : 주파수 대역폭을 고려하여 안테나 파라미터 결정, 안테나로 사용 가능한 주파수 범위

회로 관점의 안테나 파라미터
입력 임피던스와 방사저항
안테나의 입력 임피던스, 방사저항, 손실저항

방사저항은 클수록 좋다. 방사를 잘 한다는 뜻
Rl은 loss를 의미함
Rr >> RL
반사계수, 반사손실, VSWR

방사효율, 정합효율, 총 효율

대역폭(임피던스 대역폭)
VSWR < 2인 조건
설계 A가 B보다 대역폭이 넓다.


12주차 1차시
키워드
다이폴 안테나, 모노폴 안테나
대표적인 안테나와 배열 안테나
다이폴 안테나(폴이 2개, 도체 봉이 2개)
안테나에서 가장 기본적인, 기초적인

전류분포가 0이다. 도체 봉 자체의 굵기 : d
두개의 봉의 길이 : 2l

dBi : 기준이 되는 등방성 안테나에 비해 몇배
전송선로의 특성 임피던스 50옴
전기적으로 소형인 안테나는 잘 쓰지 않음, 반지름 값에 따라 민감하게 변함(d)
반파장 다이폴 안테나를 가장 많이 사용
R + jX는 반지름 값에 민감하게 변하지 않음

반파장 다이폴 안테나가 인기 있는 이유


모노폴 안테나
다이폴 안테나의 절반
땅이 접지 역할을 하기 때문에 대부분 모노폴 안테나를 사용
길이 : l
영상 이론을 적용하면 다이폴 안테나와 동일하게 작용

접선 성분은 0이고 수직 성분은 같은 영상 전력을 가짐

모노폴은 람다/4를 가장 많이 사용
모노폴 안테나의 장점
안테나의 길이 : 다이폴 안테나의 절반
지향성 : 다이폴 안테나의 2배(접지면때문)
임피던스 : 다이폴 안테나의 절반

(b) 대형 선박에 많이 사용
(c) 접지 => 견고해짐, 초창기의 휴대폰 안테나
12주차 2차시
키워드
루프 안테나

공진형 안테나, 지향성도 좋고, 입력 임피던스도 정합 어렵지 않음
한파장 루프 안테나가 가장 많이 쓰임

루프 안테나의 특징
전기적 소형 루프 안테나 : 방사 패턴이 수평면에서 무지향성
한 파장 루프 안테나 : 방사 패턴이 수직면에서 무지향성
평형방식 급전(2축 전송선)과 불평형방식 급전(동축 케이블)이 모두 가능
선형 편파
ex) 무선 호출기(삐삐)

1. 동축 케이블 2. 2축 전송선 방식
헬리컬 안테나
다이폴, 모노폴, 루프 안테나에서 변형(도체를 나선 모양으로 감아서 만든 구조)
원평편파 또는 타원형 편파
헬리컬 안테나 특징
넓은 주파수 대역에 걸쳐 균일한 입력 저항
높은 이득을 갖는 엔드-파이어 배열(축 모드)로 동작
도체의 굵기와 권선 간격에 대해 특성이 크게 좌우되지 않음
배열 안테나로 만들기 쉬움

축 모드(엔드-파이어 모드) : 나선의 둘레가 파장과 거의 비슷해야 하며, 헬리컬의 총 길이는 파장보다 커야 함
수직 모드(브로드사이드 모드) : 나선의 지름과 헬리컬의 총 길이가 파장보다 훨씬 작아야 함
헬리컬 안테나 해석에 사용되는 구조 관련 파라미터

축 모드 헬리컬 안테나
나선의 둘레가 파장과 거의 비슷해야하며, 헬리컬의 총 길이는 파장보다 커야 함
원형편파를 발생하기 위한 최적의 설계 파라미터

야기-우다 안테나
엔드-파이어(축 모드) 방사패턴
TV 수신용 안테나
여진소자(방자소자), 반사기, 도파기(유도기)로 구성

여진소자
안테나의 중심 주파수와 편파 결정
반사기
여진소자 뒤에 설치(여진소자보다 길게 만듦)
유도성 리액턴스 값(+jX)
개수가 성능 개선에 미치는 영향이 없어서 1개만 사용
도파기
여진소자 앞에 설치(짧게)
용량성 리액턴스(-jX)
개수에 따라 최대 지향성(D)와 최대 이득(G)가 결정
동작 원리
여진소자 뒤쪽으로 방사되는 전파는 긴 반사기에 부딪혀 반사
앞쪽으로 방사되는 전파는 짧은 도파기에 의해 유도
성능 : 소자에 분포하는 정류와 진행파의 위상속도에 의해 결정
전류분포
여진소자 : 소자의 길이, 주파수, 반사기, 유도기와의 상호작용에 의해 겨렂ㅇ
기생소자 : 경계조건
다이폴 안테나와 유사
여진소자에 흐르는 전류가 우세
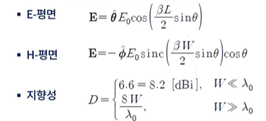
패치 안테나
패치의 형태 : 직사각형, 정사각형, 원형, 원형 링
장점 : 얇은 두께, 표면에 쉽게 부착 가능, 간단한 구조, 저비용, 편파 조정
단점 : 낮은 효율, 편파 순도 나쁨, 좁은 대역폭

동작 원리
패치의 길이 L : 반파장
가장자리 효과 : 위쪽 절반의 공간으로 전자기장 방사
방사 패턴과 지향성
2개의 슬롯이 거리 L만큼 떨어져 있는 것으로 간주
접지판이 유한한 경우 누설 방사 생김

패치 안테나의 방사패턴

12주차 3차시
키워드
배열 안테나
2개 이상의 안테나 소자로 구성(단일 소자는 방사 패턴 조정이 불가능)
특성 : 소자들에 공급되는 신호원의 진폭과 위상, 상대적인 간격에 따라 결정
장점
방사패턴 조정 가능
높은 지향성과 이득 가능
전기적으로 방사패턴 회전 가능
단점
안테나 소자의 증가로 인한 복잡한 급전회로
안테나 대역폭 제한
배열 안테나의 기본 개념
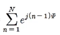
n개의 소자로 이루어짐
안테나 소자 사이의 간격 d
위상 변환기(패턴 조정 중 위상 변환), 감쇠기(패턴 조정 중 진폭 조정)

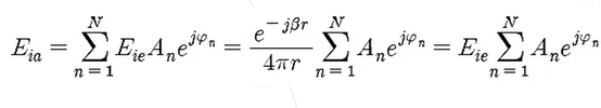
총 방사 전기장은 개별 소자 방사 전기장의 벡터 합
등방성 선형 배열
배열 소자 : 등방형 안테나 사용, 진폭과 위상을 제어 가능
등방성 소자에서 방사되는 원거리 전기장

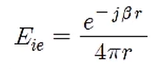
N개의 소자들로 구성된 등방성 선형 배열로부터의 총 방사 전기장(개별 소자의 벡터합)
Eie는 고정

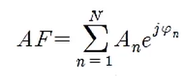
등방성 배열인수

등방형 선형 배열
균일 배열의 배열 인수(진폭=1로 같음)
An이 1이 되어버림

인접한 두 소자 사이의 위상차(중요)

파이0 : 개별 소자 각각에서 가해주는 위상
등비급수의 합

균일 선형 배열의 규준화 배열인수

안테나 소자 사이의 간격을 반파장으로 하니까 메인 로브 하나만 있는 결과
안테나 소자 사이의 간격을 반파장보다도 작게 해야 한다.
위상 배열
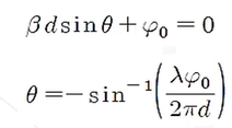
최대 방사 방향

배열 계수를 조정하여 방사패턴의 로브를 전기적으로 스캔 가능
브로드 사이드 배열
최대방사가 일어나는 방향이 배열의 축에 수직인 방향
엔드-파이어 배열
최대 방사가 배열의 축을 따라가는 방향


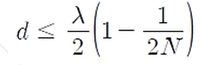
간격을 더 좁혔을 때 빔이 하나가 생길려면 람다/4정도로
엔드 파이어 배열의 한개 빔 발생 조건

한센-우드야드 엔드-파이어 배열
배열의 길이가 한 파장보다 훨씬 큰 경우(L >> 람다)
최대 지향성을 얻을 수 있는 위상 조건
돌프-체비셰프 최적 분포
사이드로브의 크기와 이득 사이는 트레이드 오프 관계
푸리에 급수를 이용하여 신호원의 진폭 조정

점점 사이드로브는 좋아지고 이득은 나빠지는
패턴곱 원리
총 방사 전기장

단일 소자의 지향성(Ee)와 등방성 배열 (AF)의 지향성을 서로 곱해 안테나 배열의 지향성을 예측 가능

'공부' 카테고리의 다른 글
| [컴퓨터비전] 1, 2주차 정리 (0) | 2022.12.13 |
|---|---|
| [차량 통신 및 네트워크] 13, 14주차 (0) | 2022.12.11 |
| [차량 통신 및 네트워크] 9, 10주차 (1) | 2022.12.11 |
| [파이썬] 코딩테스트 준비 (수정중) (1) | 2022.11.17 |
| [컴파일러개론] 중간고사 정리 - Syntax Analysis-Top Down (3) | 2022.10.18 |