1주차
영상(Image) : pixel들의 집합
pixel은 좌표와 값으로 이루어져 있으며, 디지털 이미지를 다루는 최소 단위이다.
digital image
좌표, 값 모두 불연속적인 정수이다.(0~255)
동영상(Video)
FPS : Frame Per Second
FPS가 높을수록 더 매끄러운 영상
Camera Imaging Model
CCD(Charge coupled device) camera

- High-end DSLR camera
- Global
CMOS(Complementary metal-oxide semiconductor) camera

- Smartphone
- Rolling shutter
Rolling Shutter의 경우
Distortions
- skew
- rotation
왜곡이 발생한다.
Stabilization
- Video Stabilization method
Point processing

2주차
Image Filtering
Box Filter(=average filter)

smoothing 효과, 노이즈를 어느정도 제거 가능
No change

Shifted left by 1 px

Sharpening filter(또렷해지는 효과)

Sobel Filter (Horizontal Edge)

Sobel Filter (Vertical Edge)

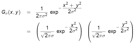
Gaussian Filter

시그마 값이 크면 넓은 종 모양, 시그마 값이 작으면 높이 솟은 모양
거리에 따른 weight 고려 가능
저주파 통과 필터

x, y방향 분리 => 연산량이 줄어든다.
Median Filter(중간값 필터)
salt & pepper noise 제거에 유용
'공부' 카테고리의 다른 글
| [컴퓨터비전] 5, 6주차 정리 (0) | 2022.12.13 |
|---|---|
| [컴퓨터비전] 3, 4주차 정리 (0) | 2022.12.13 |
| [차량 통신 및 네트워크] 13, 14주차 (0) | 2022.12.11 |
| [차량 통신 및 네트워크] 11, 12주차 (3) | 2022.12.11 |
| [차량 통신 및 네트워크] 9, 10주차 (1) | 2022.12.11 |